ARTÍCULO ORIGINAL

 

Propuesta de proceso de planificación de sistemas de información para la industria biofarmacéutica cubana

 

Proposal of an information systems planning procedure for the Cuban biopharmaceutical industry

 

 

 

Diley Hernández Lantigua,I Dania Pérez Armayor,II Eduardo León Alen,III Marta Infante Abreu,II Jeffrey Blanco GonzálezII

I Movitel, La Habana, Cuba.
II Instituto Superior Politécnico "José Antonio Echeverría" (CUJAE). La Habana, Cuba.
III Grupo de la Industria Farmacéutica y Biotecnológica (Biofarma). La Habana, Cuba.

 

 


RESUMEN

El objetivo del presente trabajo es realizar una propuesta parala planificación de sistemas de información de empresas de la industria biofarmacéutica cubana, mediante el diseño de proceso. Como métodos se emplearon casos de estudio, estándares de modelado de gestión de proceso y de diseño de proceso para facilitar la comprensión de los retos en la planificación objeto de estudio y fundamentar la solución propuesta y sus beneficios. Mediante el diseño de proceso realizado para la planificación de sistemas de información, se definen registros que han facilitado la diferenciación de sistemas de información de sistemas informáticos, la definición de indicadores más precisos y la realización de apreciaciones financieras para la planificación de proyectos de desarrollo de software acorde con las necesidades de la empresa. El proceso de planificación propuesto permite ajustar la evolución de los sistemas de información a las necesidades de la organización, en función del logro de sus objetivos estratégicos.

Palabras clave: diseño de procesos; proceso de planificación; planificación estratégica; tecnologías de la información y las comunicaciones; planificación de sistemas de información.


ABSTRACT

The paper proposes an information systems planning procedure based on process design for enterprises from the Cuban biopharmaceutical industry. Study cases and process management and design modeling standards were used to facilitate understanding of the challenges posed by the planning of the object of study and to substantiate the solution proposed and its advantages. Based on the process design developed for the planning of information systems, a definition is made of records facilitating differentiation between information systems and computer systems, as well as the description of more accurate indicators and the performance of financial assessments aimed at planning software development projects to meet the needs of the enterprise. The planning procedure proposed makes it possible to adjust the evolution of information systems to the needs of the organization, with a view to achieving its strategic goals.

Key words: process design; planning process; strategic planning; information and communications technologies; information systems planning.


 

 

INTRODUCCIÓN

La información es un recurso estratégico en el contexto empresarial actual, por lo que su gestión, y la de las tecnologías asociadas a ella, requieren especial atención. Asimismo, el procesamiento de información que requieren los negocios contemporáneos (dado el volumen a procesar y el tiempo de respuesta requerido) requiere un conjunto de elementos en evolución denominado tecnologías de la información y las comunicaciones (TIC), que incluye software, hardware, formas organizativas, servicios y conocimientos empleados en este dominio. Estas tecnologías, desde 1990, superaron el análisis basado en datos históricos, y permitieron también consultar instantáneamente la demanda real del cliente, entre otros beneficios que han generado nuevos modelos de negocios y representaciones más precisas de los existentes. Sin embargo, es común que la adopción de TIC en las organizaciones se centre en la novedad tecnológica, y releguen el impacto en el negocio y el compromiso de la alta dirección con esta evaluación.1 Como consecuencia, no siempre la adopción de TIC, en especial de sistemas informáticos, generan los beneficios esperados. 

La planificación de sistemas de información es un elemento necesario para facilitar la adopción de TIC sobre la base de las necesidades de los procesos de negocio y en función de los objetivos estratégicos de la organización. Un sistema de información (SI) es un conjunto organizado de personas, procesos y recursos, incluyendo la información y sus tecnologías asociadas, que interactúan de forma dinámica, para satisfacer las necesidades informativas que posibilitan alcanzar los objetivos de una organización.2,3

En este contexto, entiéndase como planificación de sistemas de información el proceso organizacional para definir planes de acción y asignación de recursos que permitan la evolución de todos los elementos de los sistemas de información inherentes a los procesos de negocio y gestión mediante los que se debe concretar el cumplimiento de los objetivos estratégicos trazados. El análisis del proceso de planificación de sistemas de información (PPSI) como un proceso de gestión organizacional debe concretarse en un plan estratégico de sistemas de información (PESI) que contenga las políticas generales de la empresa en materia de desarrollo de su infraestructura de TIC, y las acciones generales a desarrollar como organización para que esa evolución sea alineada a la estrategia empresarial definida. De igual manera, este PESI debe ser el marco rector a emplear por los proveedores de TIC en los proyectos de desarrollo que se decidan concretar, facilitando la planificación propia de cada uno de esos proyectos.

En resumen, el PPSI debe definir el desarrollo de las TIC acorde con las necesidades de los procesos y de los objetivos estratégicos de la organización. Para esto se requiere un análisis del estado actual y deseado de las TIC y de los SI de la organización en un período determinado, en este caso el período estratégico, y los indicadores para controlar la evolución de estas acciones acorde con la situación empresarial y el estado final esperado.4 Los retos más apremiantes en este sentido son:

 Las líneas de solución actualmente en desarrollo para atenuar las barreras mencionadas anteriormente son:

El PPSI se comienza a desarrollar en el grupo empresarial Biocubafarma, que reúne entidades de la industria químico-farmacéutica y del polo científico cubano con distintas responsabilidades (empresas importadoras/exportadoras, productoras, y comercializadoras y de servicio). Los procesos logísticos distribuidos entre estas organizaciones necesitan respuestas coordinadas ante sus clientes. Esta coordinación requiere intercambiar información mediante las TIC, dada la dispersión geográfica entre las empresas, el tiempo de respuesta requerido y los volúmenes de información solicitados. En este contexto se identificaron deficiencias en el desarrollo de los SI del grupo, que influían negativamente en la toma de decisiones empresariales, dada la exclusión de requerimientos de información estratégicos.9 El PESI desarrollado permite revertir esta situación. El objetivo del presente trabajo es realizar una propuesta para la planificación de sistemas de información de empresas de la industria biofarmacéutica cubana, mediante un diseño de proceso acorde con los estándares empresariales vigentes en el país.

 

MÉTODOS

Los resultados presentados se basan en el desarrollo de casos de estudio en el área de la evaluación de TIC acorde con las características de la cadena de suministro8,9 y el análisis de proyectos docentes analizando problemáticas en diferentes empresas relacionadas con la gestión y la explotación de TIC y SI, y con la necesidad del PESI (cuadro 1).10-13 Las etapas de investigación, centradas alrededor de la investigación de campo realizada, ya sea como proyectos docentes o como tesis de diploma o maestría, se complementan con fundamentos teóricos en cada caso, siempre alrededor de un objetivo fundamental que evoluciona acorde con los hallazgos y las conclusiones en cada momento, de forma tal que se ha transitado por cuatro objetivos fundamentales; el último de ellos es el PPSI, que concentra la propuesta presentada en el presente trabajo. Adicionalmente, en el anexo se encuentran referencias a las diferentes investigaciones de campo realizadas.

El análisis de estos casos de estudio y de estándares de modelado de gestión y diseño de proceso viabiliza la comprensión de los retos en la planificación objeto de estudio y permite fundamentar la solución propuesta y sus beneficios. La propuesta de diseño de procesos está sustentada en la necesidad de mejorar el proceso de toma de decisiones respecto a las TIC que tiene lugar en las empresas. Los hallazgos se corresponden con el objetivo de la investigación. Es por eso que se redirige la evaluación de las TIC, que propone el modelo de decisión TEMIX (TEchnology MIX decision model),8 al contexto del proceso organizacional de planificación estratégica de sistemas de información, para lo que es necesaria una definición de este acorde con los estándares de calidad propuestos por las Normas ISO adaptadas a Cuba,19 como se evidencia en diferentes casos de estudios sobre diseño de procesos en el sector empresarial cubano en correspondencia con la visión de las disciplinas de gestión de calidad y administración de las empresas.9,14-18

Entre los métodos empleados para el diseño del proceso está la modelación, con el uso del estándar modelo y notación de procesos de negocio (BPMN, por sus siglas en inglés) desarrollado por Object Management Group (OMG).20,21 BPMN facilita la comprensión del proceso para todos los involucrados en este, tanto a los analistas como a los implementadores y a los encargados de su revisión y gestión.22 Esta notación permite, a partir de su sintaxis y símbolos, realizar el diagrama de flujo del proceso que luego será utilizado para su  automatización y control.

Otra herramienta empleada es el modelo de decisión TEMIX8 que incluye un procedimiento para la evaluación de tecnologías y un prototipo automatizado para su ejecución. Este modelo, constituido de tres etapas —una de configuración, una de diagnóstico del objeto de estudio y una de evaluación de combinaciones de TIC para la empresa— emplea las bondades de la lógica difusa compensatoria para encontrar consenso entre los criterios de consultores de negocio y técnicos, mientras propone una secuencia de acciones a seguir para facilitar la gestión del conocimiento en la empresa.11,13 En el PPSI, TEMIX es empleado en las fases de diagnóstico y en la elaboración del modelo de SI.

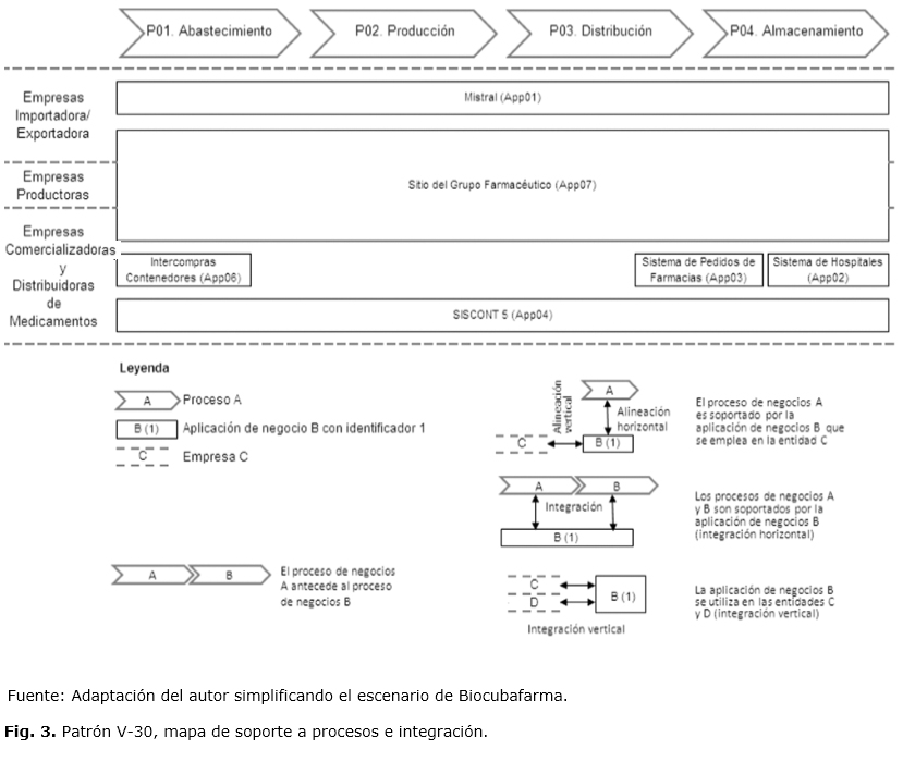
Para la representación de los resultados del proceso, dentro del PESI, se emplearon patrones de visualización de gestión de arquitectura empresarial.23 Estos patrones facilitan la comprensión de los resultados y fueron utilizados en el modelo de información, resultado del diagnóstico, el modelo de SI, y para representar la evolución de los proyectos en el plan de acción y facilitar la toma de decisiones en las actividades del proceso donde fueron empleados; por ejemplo, variaciones en las aplicaciones de negocio, identificar niveles de integración y automatización en la empresa, soporte tecnológico del flujo de información, problemas de interoperabilidad y prioridad en la ejecución de los proyectos.

La aplicación realizada de todos estos métodos y herramientas se refleja en un documento final, resultado del proceso de planificación, denominado PESI, el cual constituye la evidencia de las políticas rectoras para la estrategia de TIC a seguir en la empresa durante el período estratégico analizado. Este documento está definido como el antecedente principal de futuras iteraciones del PPSI, en un ciclo evolutivo acorde a necesidades empresariales estratégicas.

 

RESULTADOS

El desarrollo de los SI del grupo empresarial Biocubafarma, impulsado mayormente por eventualidades y necesidades locales, provocó que quedaran requerimientos de información sin soporte, que generaron dificultades en la toma de decisiones.9 Para mejorar el necesario soporte que deben brindar los SI a la toma de decisiones se confecciona un PESI utilizando la metodología Métrica v3,9,24 y el modelo de decisión TEMIX8 para la evaluación de TIC basado en las características empresariales.

En el diagnóstico realizado para el PESI mediante TEMIX8 se logró la identificación, la evaluación y la catalogación por procesos de negocio de los requerimientos de información definidos a nivel estratégico, los cuales se asociaron a los sistemas informáticos identificados y catalogados. Con estos resultados, se pudo ofrecer una valoración de los requerimientos de información para la toma de decisiones no cubiertos por cada proceso analizado, que permitió identificar las decisiones con carencia informacional y la propuesta de solución mediante los proyectos de desarrollo resultado del PESI. 

Durante este trabajo, el grupo multidisciplinario seleccionado (responsables de procesos y toma de decisiones, y consultores en TIC), documentaron en forma de catálogos, y accesibles a toda la organización, las definiciones realizadas en esta planificación, y se constituyó una forma de gestión del conocimiento, orquestada mediante TEMIX. Al concluir la confección de la primera versión del PESI, la situación era la siguiente (cuadro 2): el PESI logrado es un complemento para la planificación estratégica de la organización y facilita que el desarrollo de las TIC se mida en acciones de soporte a los objetivos estratégicos vigentes. Sin embargo, el PESI se convierte fácilmente en documento obsoleto ante cambios en los procesos a los que debe servir de soporte. Este plan debe complementarse y ser resultado de un proceso de planificación continuo, integrado en la cantera de procesos de la organización, capaz de evolucionar con esta, superando el carácter estático de un documento de consulta. Para contribuir al mejoramiento del PESI vigente en empresas de Biocubafarma se propone un diseño de PPSI general, que puede ajustarse a las particularidades de cualquier organización.

DISEÑO DEL PROCESO DE PLANIFICACIÓN DE SISTEMAS DE INFORMACIÓN

Una de las barreras detectadas para la definición del PESI10,12,25 es la ambigüedad en los procesos de obtención de este. En la mayoría de las literaturas encontradas, el término planificación de sistemas de información, incluida Métrica v3,24 planifica sistemas informáticos con la descripción de la fase genérica del proyecto de desarrollo de software, y produce un entregable con los requerimientos de la empresa, para un posterior desarrollo, acorde con los cánones de ingeniería de software. Sin embargo, no establece las acciones que debe realizar la organización para un desarrollo estratégico de su infraestructura de TIC en particular y de sus sistemas de información en general. La metodología Métrica v3,24 evaluada como la más completa de las guías disponibles en cuanto a resultados que debe obtener la empresa para elaborar un PESI,9 contiene una secuencia de hitos a incluir en el plan, sin un diseño de proceso complementario, que genera ambigüedades para quien la consume.

En ejemplos de diseños de procesos analizados9,14-18,26 se aprecia la utilización recurrente de mapas y fichas de proceso como elementos complementarios o documentación del diseño realizado, con el uso de estándares difusos de formato y descripción, pero de fácil comprensión y amplia aceptación en varias disciplinas como: gestión de la calidad, dirección estratégica y gestión de procesos y logística. Considerando estas experiencias y las definiciones existentes en las entidades de los propios investigadores, se propone la ficha presentada en el cuadro 3. Sin embargo, se sustituye el diagrama de flujo generalmente utilizado en el mapa de procesos por el estándar del paradigma de gestión de procesos de negocio (BPM por sus siglas en inglés), para facilitar su posterior automatización, como se muestra en la figura 1.

La planificación de SI como proceso de gestión empresarial debe compartir el enfoque de la metodología Métrica v324 del estudio de los procesos de negocios de la organización, e identificar los requisitos de información de estos y cómo son cubiertos o no por los SI existentes. El PPSI comparte un elemento importante con la mejora de procesos, que es la alineación con los objetivos estratégicos;24 sin embargo, el PESI resultante es un marco de referencia para el desarrollo de la infraestructura de TIC y de SI de la entidad. Su objetivo no es el rediseño o mejora de procesos como tal, aunque deba estar indisolublemente ligado a él, sino el esclarecimiento de las interrelaciones de información que requieren estos procesos, y las TIC que se requieren para habilitar esta comunicación acorde con las necesidades de los objetivos de negocios trazados para el período.

Seguidamente, sin entrar en detalles, se describen las actividades propuestas para el PPSI. De forma general, el PPSI consiste en que la organización realice un diagnóstico, mediante consultas a sus especialistas, acerca del estado actual de sus sistemas y tecnologías de la información, y a partir de esto diseñe un modelo de SI en el que se describa el estado deseado, así como la arquitectura tecnológica que pueda soportarlo. Hecho esto, la empresa define un plan de acción para alcanzar el estado deseado describiendo las acciones a realizar en forma de proyectos con el mayor detalle posible. Las actividades que conforman el diagrama de la figura 1, y que se describen a continuación, constituyen la vía propuesta para realizar el PPSI en una organización.

CONCLUSIONES

Este proceso investigativo analiza fundamentalmente cuatro objetivos inter-relacionados que se van proponiendo acorde con las experiencias ganadas en varias etapas de la investigación de campo. Entre los resultados, el grupo de investigación encontró evidencias de la necesidad de definir un proceso de gestión empresarial para normar la planificación de SI que debe llevarse a efecto desde la empresa, y amén de los cánones propios que la ingeniería de software establece para los proyectos de desarrollo de sistemas informáticos.

El PPSI propuesto permite superar retos presentes en sus antecedentes. Los resultados obtenidos de la aplicación de esta propuesta, por ejemplo, la selección de los sistemas informáticos a modificar, dependen de las particularidades de cada organización, acorde con el plan de acción que se defina. Entre las mejoras que se pueden obtener de la presente propuesta está la utilización de estándares de diseño de proceso para el registro de proceso mediante la ficha propuesta, que incluye: criterios para definir objetivos mensurables en el PPSI, también aplicados al PESI, e indicadores de desempeño y control, incluyendo umbrales de referencia para valorar el cumplimiento de los objetivos y ejemplos de indicadores tipo para la evaluación de resultados en posibles escenarios. Este resultado se combina con el modelado de procesos utilizando la notación BPM; se flexibiliza el modelado y se facilita la comprensión y la automatización del proceso.

Además, la identificación de SI mediante una ficha propuesta para su descripción y análisis, que diferencia los SI de los sistemas informáticos que les sirven de soporte, constituye un primer paso de avance para evitar el uso de SI y sistemas informáticos como sinónimos en la práctica, y facilitar la identificación de las medidas a tomar con el fin de garantizar la evolución de los SI junto con la estrategia empresarial basadas en las modificaciones a realizar a cada uno de sus elementos, A lo que se suma la mejora de la presentación del modelo de SI encontrado en los antecedentes mediante el uso de patrones de gestión de arquitectura empresarial.


REFERENCIAS BIBLIOGRÁFICAS

1. Altameem AA, Aldrees AI, Alsaeed NA, editors. Strategic information systems planning (SISP). In: Proceedings of the World Congress on Engineering and Computer Science; 2014.

2. Teubner RA. Information systems strategy: theory, practice and challenges for future research. Business and Information Systems Engineering J2. Busin Info Sys Eng. 2013;5(4):243-57.

3. Consejo de Estado de la República de Cuba. Decreto-Ley No. 281: Del sistema de información del gobierno. Gaceta Oficial de la República de Cuba; 2011. p. 29-33.

4. Zubovic A, Pita Z, Khan S, editors. A framework for investigating the impact of information systems capability on strategic information systems planning outcomes. 18th Pacific Asia Conference on Information Systems; 2014.

5. Yang J, Pita Z, Singh M, editors. Measurement of Determinants for Enhancing Strategic Information Systems Planning (SISP) Success and Dynamic Capabilities in South Korea. ACIS; 2014:

6. Wilkin CL, Cerpa N. Strategic information systems planning: an empirical evaluation of its dimensions. J Technol Manag Innov. 2012;7(2):52-61.

7. Kandjani H, Mohtarami A, Taghva MR, Andargoli AE. Classification and comparison of strategic information systems planning methodologies: a conceptual framework. Int J Enterp Inf Syst. 2014;10(1):1-10.

8. Pérez Armayor D. Technology combinations decision model for supply chains information systems integration [Tesis doctoral]. Germany: University of Oldenburg; 2012.

9. León Alen EO. Plan de Sistemas de Información. Aplicación en Grupo Empresarial Farmacéutico [Master's degree thesis]. La Habana: ISPJAE; 2013.

10. Pérez Armayor D, Hernández Lantigua D. Diagnóstico de sistemas de información en Movitel. III Taller de Informática Empresarial. VIII Simposio de Ingeniería Industrial y Afines de la Decimoséptima Convención Científica de Ingeniería y Arquitectura; La Habana: ISPJAE; 2014.

11. Pérez Armayor D, Hernández Lantigua D, León Alen EO, Díaz Batista JA. Use of a Decision Support Model for Information Technology Evaluation in Cuban Enterprises. Fourth International Workshop on Knowledge Discovery, Knowledge Management and Decision Support Eureka Workshop 2013. Mazatlan, Mexico: Atlantis Press; 2013.

12. León Alen EO, González de la Torre V, Pérez Armayor D, Díaz Batista JA. Aplicación de un plan de sistemas de información en un grupo empresarial farmacéutico. Nueva Empresa. Rev Cubana Gest Empres. 2013;9(1):10-7.

13. Pérez Armayor D, Díaz Batista JA, Marx Gómez JC. Toward an integration technology selection model for information systems integration in supply chains. Communications in Computer and Information Science. 2011;83:187-94.

14. Rodríguez Castro V. Implementación del sistema Intercompras contenedores en ENCOMED [Trabajo de Diploma para la categoría de Ingeniero en Ingeniería Industrial]. La Habana: ISPJAE; 2010.

15. Martínez González Y. Diseño e Implementación del Proceso de Planificación en la Unidad Presupuestada de Aseguramiento a La Universidad de La Habana. La Habana: ISPJAE; 2012.

16. Ramírez Cañedo G. Procedimiento para la mejora de los procesos de la División Logística de la Corporación Cimex S.A. [Tesis para optar por el Grado Científico de Máster en Calidad Total]. La Habana: ISPJAE; 2007.

17. Ortega González Y, Izquierdo Roda E, Stuart Cárdenas ML, García Fenton V, Escandón Bon R, Padrón Astorga S, et al. El ingeniero industrial en la concepción de los sistemas informativos empresariales. Apuntes y compilación de artículos. La Habana: Editorial Félix Varela; 2007.

18. García Pérez AM, Aragón González N, Rivero Aragón MF. Método para la mejora de procesos empresariales y su informatización. Nueva Empresa. Rev Cubana Gest Empres. 2013;9(1):54-61.

19. ISO. Norma Internacional ISO 9001. Sistemas de gestión de la calidad. Requisitos. Ginebra, Suiza: Secretaría Central de ISO. 2008.

20. Figuerola N. BPMN vs. UML. PMQuality-Artículos-IT Management. 2014 [citado 12 de enero de 2015]. Available from: http://www.articulosit.wordpress.com

21. Harmon P, Wolf C. The state of business process management. BPTrends; 2014.

22. Object Management Group. Business Process Model and Notation: v2.0.2. OMG; 2013.

23. Buckl S, Ernst AM, Lankes J, Matthes F. Enterprise Architecture Management Pattern Catalog. Technical Report TB 0801. Technische Universitat Munchen, Germany: Software Engineering for Business Information Systems; 2008.

24. Ministerio de Administraciones Públicas de España. MÉTRICA. VERSIÓN 3: Metodología de Planificación, Desarrollo y Mantenimiento de sistemas de información; 1998.

25. González Herrera A, Infante Abreu MB, Graverán Fernández A. Plan de sistemas de información de LABIOFAM. III Taller de Informática Empresarial. VIII Simposio de Ingeniería Industrial y Afines de la Decimoséptima Convención Científica de Ingeniería y Arquitectura; La Habana: ISPJAE; 2014.

26. Golles González A. Diseño de los procesos claves del Laboratorio Central del Instituto Superior Politécnico "José Antonio Echeverría". La Habana: ISPJAE; 2012.



Recibido: 24 de agosto de 2015.
Aprobado: 7 de enero de 2015.



Diley Hernández Lantigua. Movitel, La Habana, Cuba.Correo electrónico: diley@movitel.co.cu