ARTÍCULO ORIGINAL


Competencias informacionales en el área de la Biología desde los estudios de pregrado en la Universidad de La Habana


Informational competencies in undergraduate biology courses at the University of Havana






Dra. C. Marlery Sánchez Díaz

Centro Nacional de Biopreparados (BioCen). La Habana, Cuba.

 



RESUMEN

Este trabajo tiene como objetivo la evaluación y formación de competencias informacionales en los estudiantes de tercer y cuarto años de pregrado de la Facultad de Biología de la Universidad de La Habana. Se aplicó una prueba diagnóstica mediante SAILS para las ciencias biológicas. Se determinó, por medio del cálculo del índice de dificultad y la curva característica, si existían dificultades en las competencias informacionales. Se identificaron, mediante la media poblacional, las subcompetencias en estado de alerta y crítico; se analizó el estado de cada una y las diferencias entre titulaciones. Se describieron las acciones de formación realizadas y los criterios de los estudiantes en cuanto a la experiencia realizada. Se detectó la existencia de dificultades con las competencias informacionales y la necesidad de acciones de formación en los estudiantes.

Palabras clave: alfabetización informacional, competencias informacionales, gestión de competencias informacionales.


ABSTRACT

A study was conducted of the evaluation and training of informational competencies in third and fourth year students at the Faculty of Biology of the University of Havana. A diagnostic test was applied based on SAILS for life sciences. The rate of difficulty and the characteristic curve were estimated to identify difficulties related to informational competencies. The population mean was used to identify alert and critical state subcompetencies. An analysis was made of the status of each and of the differences between titulations. A description was provided of the
training actions performed and the students' opinions about the experience. It was found that there are difficulties related to informational competencies and that training actions are required.

Key words: informational literacy, informational competencies, informational competence management.


 


INTRODUCCIÓN

El tema de las competencias está cada vez más presente en la docencia universitaria. Los conocimientos, habilidades y actitudes desarrollados por los estudiantes durante esta formación deben ser pertinentes con lo que necesita la sociedad, de forma que puedan competir con éxito en el mercado laboral. Las competencias relacionadas con la información juegan un rol importante en la formación a lo largo de la vida.

La Biología es una ciencia que incluye diversas disciplinas que en ocasiones se tratan de manera independiente, como por ejemplo la Microbiología y la Bioquímica; es por eso que debe considerarse como un conjunto de ciencias, que forman las llamadas Ciencias Biológicas. El avance de la investigación básica y aplicada en estas ha sido espectacular desde el siglo XX y llega a ser en la actualidad una de las primeras en porcentaje de contribuciones científicas e impacto en el contexto internacional.

Solo con un alto sentido de responsabilidad ante la selección, el análisis y el uso de la información científica, los microbiólogos, biólogos y bioquímicos pueden lograr la comprensión acertada de los conceptos básicos biológicos y del proceso científico que garanticen propuestas viables a la humanidad.

Como expresa Porter (2005), "aunque el tema de las competencias informacionales prolifera en la literatura, no aparecen muchas investigaciones sobre estas en las ciencias biológicas",1 por lo que son nulas en la universidad cubana.

Este artículo se centra en la evaluación y formación de las competencias informacionales de los estudiantes de pregrado de la Facultad de Biología de la Universidad de La Habana. Las preguntas científicas son las siguientes: ¿Existen dificultades con las competencias informacionales? ¿En qué estado se encuentran? ¿Existen diferencias entre las titulaciones? ¿Se precisa de acciones de formación? ¿Qué criterios presentan los estudiantes después de la experiencia de formación?



LAS COMPETENCIAS INFORMACIONALES EN LAS CIENCIAS BIOLÓGICAS DESDE LA EDUCACIÓN SUPERIOR

Tomando en cuenta la literatura,2-6 consideramos que las competencias informacionales consisten en poner en acción, en un contexto y con un contenido determinado, los conocimientos, habilidades y actitudes relacionados con la información.

Para solucionar con éxito problemas y aprender a aprender, es necesario lograr un nivel de excelencia en estas competencias. Por tanto, es preciso llevar a la práctica un proceso de enseñanza-aprendizaje que facilite su formación al nivel requerido. Los autores7-9 abordan la necesidad de que estas sean desarrolladas cooperativamente entre bibliotecarios y docentes.

Antes, durante y después de la etapa de formación es conveniente evaluar las competencias. Dentro de los diferentes proyectos existentes para esto se destaca Standardized Assessment of Information Literacy Skills,10 una iniciativa de la Universidad de Kent en la que han participado más de 60 instituciones. SAILS se basa en una prueba de opción múltiple, a partir de las Normas de la ACRL, y en la teoría de la respuesta al item para determinar qué tan bien funciona el test. Las experiencias revisadas11-13 utilizan dentro de esta teoría el modelo de rasgo latente de Rasch, basado en que la probabilidad de acertar un ítem depende de su nivel de dificultad y del nivel del sujeto en la habilidad medida.

En la Universidad de Villanova, en Portugal,14 los bibliotecarios junto a los biólogos trabajan en asignaturas del plan de estudios donde los estudiantes reciben formación en competencias informacionales y son evaluadas a partir de los trabajos finales y proyectos de investigación.

En la Universidad de Macquarie15 los estudiantes de primer año de Biología se autoevalúan diagnósticamente las habilidades de información mediante las normas de CAUL, se llevan a la práctica entrenamientos en línea y conferencias presenciales, y después se hace de nuevo la autoevaluación.

En la Universidad de Oklahoma16 un bibliotecario colabora con el profesor de Geomicrobiología. Las normas de la ACRL sirvieron para la evaluación antes, durante y al final del curso. Al principio del semestre, un cuestionario de auto-reporte se distribuye. Se realizan sesiones de instrucción que incluyen el uso de herramientas de búsqueda bibliográfica disponibles y las bases de datos OCLC´s First Search, Chemical Abstract Service´s SciFinder Scholar y Carl UnCover. Cada clase consiste en una conferencia por el profesor de 50 minutos y donde los estudiantes deben presentar un artículo publicado en la revista Science o en Nature entre 1982 y 1997; localizar dos relacionados con el que se presenta (uno de una revista no referenciada y otro de una de referencia); discutir sobre las diferencias entre los tres documentos y criticar el artículo. Al final del semestre, el cuestionario inicial se administra de nuevo para monitorear los cambios en los estudiantes.

En la Universidad de Ciencias de Filadelfia1 los estudiantes de Biología celular emprenden una serie de asignaciones, con determinados requerimientos, que tienen valor en puntos y para las cuales reciben instrucción por parte del bibliotecario de la Facultad. La primera tarea, que vale 50 puntos; se introduce en la primera semana de clases, donde deben leer y entender un artículo para la formulación de un tema de investigación; buscar ese tema en las fuentes bibliográficas electrónicas y en papel (Biosis, MEDLINE, Agrícola, FirstSearch, y Science Citation Index); determinar si los artículos obtenidos son relevantes para el tema; realizar búsquedas adicionales; refinar el tema y preparar una lista bibliográfica con un formato especificado. La segunda tarea, que vale 50 puntos, se introduce 2 o 3 semanas después de la primera. Consiste en que de la lista de artículos encontrados en la primera asignación, el alumno debe elegir cinco y preparar un resumen escrito de los contenidos. Se les pide como tercera tarea, con un valor de 150 puntos, que armen un documento sobre el estado de la técnica.

En la Universidad de Maryland17 se aplica una encuesta diagnóstica utilizando una interfaz web, para medir las habilidades de información. Consta de 51 preguntas basadas en las Normas de la ACRL. Incluye los tipos de recursos, la selección de herramientas, el desarrollo de estrategias de búsqueda, la evaluación de materiales y la síntesis de la información. Algunas preguntas examinan las opiniones y la comprensión de los derechos de autor, así como las actitudes acerca de las habilidades de información.

En la Universidad de Alberta,18 dentro del plan de estudios en la disciplina Biología 210, los bibliotecarios de Augustana imparten, con créditos específicos, estudios biológicos y alfabetización informacional. Se enseña acerca de los recursos electrónicos en la disciplina específica; la utilización de bases de datos relevantes (generales y especializadas, académicas y populares) y el uso de un estilo bibliográfico específico (determinado por el claustro de profesores de la disciplina). Otras iniciativas se llevan a efecto como, por ejemplo, premios, talleres y videos promocionales.

En la Universidad de Maryland19 el bibliotecario contribuye a que los estudiantes localicen y evalúen fuentes de información dentro del curso de Microbiología General. En el St. John Fisher College,20 durante la primera sesión de un laboratorio de Introducción a la Biología, se aplica un cuestionario de cuatro preguntas, se realizan iniciativas para la formación de competencias informacionales y se aplica de nuevo el mismo cuestionario. Se instruye en localizar una revista, en los estilos y formatos de cada revista, en el plagio, en encontrar artículos científicos en PubMed y se presentan ejemplos de fuentes primarias, secundarias y terciarias. Después, se orienta una tarea donde se les pide que localicen un número de Scientific American, evalúen el estilo y el formato y comparen con el periódico Times; busquen, mediante PubMed, diversos temas, tales como alimentos genéticamente modificados y que anoten el número de artículos devueltos; refinen su búsqueda y tomen notas de un texto. Finalmente, se sugiere leer y firmar una política de no plagio.

En resumen, las prácticas que aparecen en la literatura evidencian la realización de la evaluación diagnóstica de las competencias informacionales mediante diferentes instrumentos como son: la autoevaluación, la entrevista, la pre-prueba, entre otros. A partir de esta se realiza la intervención en su mejora, a través de entrenamientos, conferencias, guías, tutoriales y páginas web, tanto en asignaturas propias con créditos del plan de estudios como parte de ellas. Esta última modalidad es la que predomina en la literatura analizada, mediante el trabajo conjunto profesor-bibliotecario. Los contenidos formativos abordan aspectos relacionados con la selección del tema y su refinamiento; la caracterización de los diferentes tipos de fuentes de información; la localización y recuperación de información en temas específicos mediante el uso de los operadores booleanos y los límites de los términos; la utilización de bases de datos específicas (Biosis, Agricola, FirstSearch, Sciences Citation Index, SciFinder Scholar, ScienceDirect, Biological Abstracts, Zoological Record y Medline); la evaluación de artículos científicos; la preparación de resúmenes y la cita correcta de las fuentes utilizadas. Una vez finalizada la formación, se evalúan estas competencias a partir de diferentes variantes como, por ejemplo, los trabajos finales, los proyectos de investigación, una tarea orientada, la autoevaluación, entre otros.




MÉTODOS

La investigación se centró en la educación de pregrado de la Facultad de Biología de la Universidad de La Habana, por ser el centro rector de la enseñanza en esta área científica, durante dos cursos académicos: 2008-2009 y 2009-2010. Las titulaciones objeto de este estudio fueron la Licenciatura en Microbiología, la Licenciatura en Biología y la Licenciatura en Bioquímica, y la unidad de análisis los estudiantes de estas titulaciones. Los de 3er. y 4to. años constituyeron la muestra no probabilística utilizada. A partir de la literatura consultada, el estudio empírico-descriptivo se desarrolló en varias etapas concatenadas:

1. La aplicación de una prueba diagnóstica a la muestra participante.16,17,21

2. La realización de encuentros con la muestra participante.1,16,20,22

3. La aplicación de una encuesta a la muestra participante.

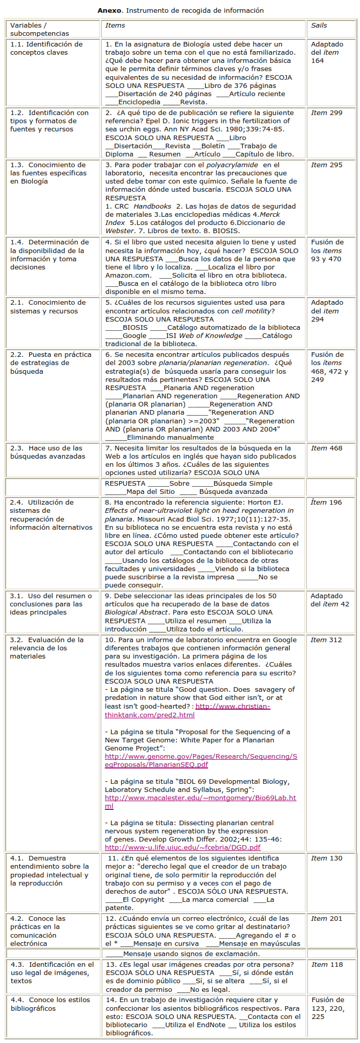
En la primera etapa de este trabajo se estudiaron las competencias informacionales mediante 14 variables o subcompetencias a partir de las Normas de la ACRL para la Ciencia y la Tecnología.23 Para esto, con previa autorización por parte de la jefa del proyecto Carolyn J. Radcliff, se tomaron 14 items del test SAILS para la Biología. Se escogió este por enmarcarse en situaciones reales de disciplinas específicas. Cada item midió una subcompetencia informacional; la selección de estos fue el resultado del trabajo conjunto con bibliotecarios de la facultad (anexo). El formato de respuesta de estos ítems fue de elección múltiple, donde entre más de dos alternativas se eligió la que se considera correcta. Por tanto, el nivel de medición empleado fue nominal, donde se obtuvieron dos categorías del ítem o variable (dicotómico), y se cuantificó con 1 el acierto y con 0 el error. "Un ítem codificado 0 indica una contestación incorrecta en una habilidad o prueba de conocimiento…; un artículo codificado 1 indica una contestación correcta en una prueba de habilidad…. Estos son los términos usados en escalas dicotómicas. Muchas investigaciones han asumido el ítem Response Theory, con escalas dicotómicas, y la mayoría han anotado las respuestas de esta manera".24

Se realizó una prueba piloto con 24 estudiantes (10 veces más estudiantes que ítems), por lo que se consideró representativa. "Los autores aconsejamos que cuando la muestra sea de 200 o más se lleve a cabo la prueba piloto entre 25 y 60 personas…".25

Tras la aplicación de la prueba provisional de manera impresa, y una vez codificadas las respuestas de cada estudiante, se construyó una matriz de datos de estudiantes por items en Excel. Con los resultados se calculó la confiabilidad del instrumento. En este caso se utilizó el método de mitades partidas o de dos mitades (slipt-halves), que requiere solamente una aplicación de la medición, donde el conjunto total de componentes se dividió en dos mitades y los resultados de ambas se compararon. Este resultó confiable porque hubo una correlación igual a 0,97 y "(…) si el instrumento es confiable, las puntuaciones de ambas mitades deben estar fuertemente correlacionadas".25

A continuación, se aplicó la prueba de manera impresa en cada grupo y en aulas separadas, para un total de 139 estudiantes. La representación de los cursos y titulaciones se muestra en la tabla. A todos los grupos se les explicó el objetivo del estudio y se les dio instrucciones similares.

 


Con todas las respuestas obtenidas, se construyó la curva característica del test a partir del cálculo del índice de dificultad de un item Dj mediante la fórmula donde: Aj es el número de sujetos que han acertado y Nj es el número total de sujetos que lo han intentado resolver. Se consideró la dificultad media entre 0,30 y 0,70.26 Esto posibilitó determinar la existencia de dificultades. A continuación, a partir de la estadística inferencial, con todas las puntuaciones obtenidas, se estimó la media poblacional µ en un intervalo de confianza del 95 %, mediante la fórmula donde la media muestral:; X = a = 0,05, Z»1,96; la varianza:y n = 139. Esto permitió determinar las subcompetencias críticas, comparar las titulaciones a partir del estado de las subcompetencias (alerta-crítico) y analizar detalladamente cada subcompetencia mediante gráficos.

En la segunda etapa de la investigación se realizaron encuentros dentro de la asignatura práctica laboral, en 4to. año en el curso 2008-2009 y 3er. año en el curso 2009-2010 de las tres titulaciones. Esta asignatura vincula a los estudiantes a un centro científico con tutores y culmina con la entrega de una revisión bibliográfica sobre un tema de investigación. En esta experiencia, los profesores coordinadores de la asignatura incorporaron la formación de competencias informacionales en la programación de esta. Las unidades temáticas que integraron el proyecto de formación fueron: la alfabetización informacional en la sociedad de la información; fuentes y recursos de información en la Biología; la búsqueda de información; la evaluación de la información y cuestiones económicas, legales y sociales referentes al uso de la información. Los recursos que se utilizaron fueron la pizarra, la computadora y el video beam.

En la tercera etapa de la investigación se aplicó una breve encuesta donde los estudiantes expresaron sus criterios en relación con los encuentros desarrollados, si estos les aportaron conocimientos, habilidades y actitudes en cuanto a la conexión, interacción y uso de la información y si experiencias como estas les serían útiles en otras asignaturas del plan de estudio. También expusieron sugerencias con vistas a las líneas futuras de trabajo en este sentido.




RESULTADOS

Las competencias informacionales en los biólogos, microbiólogos y bioquímicos se enmarcaron en la búsqueda de información en grandes colecciones, el almacenamiento y manejo de la gran cantidad de información que generan sus experimentos en gran escala, la creación de modelos con las pruebas en el laboratorio, la integración de la información y la comunicación entre sí.

En la primera etapa de la investigación (Fig. 1) se determinó de manera general la existencia de dificultades con las competencias informacionales en la Facultad de Biología, pues el 57 % de las subcompetencias estudiadas presentaron dificultad media y el 36 % dificultad máxima. Solamente una subcompetencia no tuvo dificultades.

Cuando se calculó la media de la población µ, dentro de los valores entre el 16 y el 32 % con un nivel de confianza del 95 %, se observó que en aquellas subcompetencias que se presentaron con dificultad máxima (Fig. 1), sus medias se encontraban por debajo del límite superior de este intervalo (Fig. 2), que fueron consideradas en estado crítico; entre ellas:

- (6): la puesta en práctica de estrategias de búsqueda (…).

- (8): la utilización de sistemas de recuperación de información… [caótica, pues sus medias estuvieron por debajo del límite inferior de este intervalo (16 %)].

- (10): la evaluación de la relevancia de los materiales (...).

- (11): el entendimiento sobre la propiedad intelectual y los derechos (...).

- (14): El conocimiento de los estilos bibliográficos.

 

Al comparar de manera general las titulaciones, a partir del estado de las subcompetencias, se pudo observar que la titulación de Microbiología es la que más se distanció de las restantes (Fig. 3).



Un análisis detallado de cada subcompetencia evidenció los siguientes resultados:

- 1 (identificación de términos y conceptos claves…); 3 (el conocimiento de las fuentes específicas en Biología…); 7 (el uso de las facilidades en las búsquedas avanzadas); 9 (el uso del resumen o conclusiones para las ideas principales…) y 12 (el conocimiento de las prácticas aceptadas en la comunicación…) se encontraron en las tres titulaciones por encima de la media poblacional estimada; sin embargo, en Microbiología se presentó en estado de alerta.

- 2 (la identificación con la gran variedad de tipos y formatos…) apareció crítica solamente en la titulación de Microbiología. Este resultado coincidió con los del trabajo de Ferguson, donde "(…) solo el 20 por ciento (…) de los encuestados seleccionó disertaciones y tesis, y solo el 11 por ciento (…) actas de conferencias. Por el contrario, el 88 por ciento (…) determinados sitios Web".17

- 4 (determinación de la disponibilidad de la información requerida y toma de decisiones) apareció por debajo del límite superior en la titulación de Biología, y en Microbiología se presentó en estado de alerta.

- 5 (conocimiento del contenido y organización de sistemas y recursos) apareció crítica en Microbiología y en Biología.

- 6 (la puesta en práctica de estrategias de búsqueda...) apareció de manera crítica en las tres titulaciones. Este resultado coincidió con los obtenidos por Ferguson, pues "el 66 por ciento (…) de los estudiantes de Biología indicaron que pocas veces o nunca hacen uso del truncamiento, un 66 por ciento (…) informó que con poca frecuencia o nunca utilizan los operadores de proximidad, (…); menos del 32 por ciento (…) usan poco frecuente o nunca los limitadores, así como un porcentaje significativo de las respuestas hacen uso poco frecuente o nunca de otras técnicas de búsqueda que incluye los operadores booleanos (…)."17

- 8 (la utilización de sistemas de recuperación de información…) apareció de manera crítica en las tres titulaciones. Estos resultados coincidieron con el informe de Centre for Information Behaviour and the Evaluation of Research27 donde se expone que los jóvenes universitarios piensan que todo está en la Web y que todo es gratuito. También Brown obtuvo resultados similares cuando planteó que "los estudiantes en general detienen su búsqueda cuando no encuentran a nivel local la información y no utilizan otros recursos".16

- 10 (la evaluación de la relevancia de los materiales...) apareció de manera crítica en las tres titulaciones. "Algunas de las habilidades más difíciles que los estudiantes de las ciencias biológicas tienen que aprender son leer, entender e interpretar la literatura científica (…) les es difícil entender y digerir los trabajos científicos".1 Así Freeman plantea que "Hoy en día, los estudiantes dependen (…) de fuentes en línea, pero tienen dificultades para juzgar si son académicas. (…) los estudiantes suelen evaluar la credibilidad de una fuente en línea mediante la evaluación de un aspecto profesional, por ejemplo, que no tiene errores ortográficos".20

- 11 (el entendimiento sobre la propiedad intelectual y los derechos...) apareció de manera crítica en las tres titulaciones. Estos resultados coincidieron con los obtenidos por Ferguson, pues "(…) los estudiantes no están familiarizados con la noción de derecho de autor, con un 33 por ciento (…), con la legalidad en el uso de imágenes de Internet un 21 por ciento (…) plantearon que podían, sin permiso, hacer uso legal en sus sitios Web, de fotos escaneadas de una revista".17

- 13 (la identificación en el uso legal de imágenes y textos) se encontró por encima de la media poblacional estimada en las tres titulaciones; sin embargo, en Microbiología y Biología se presentaron en estado de alerta.

- 14 (el conocimiento de los estilos bibliográficos) aparece de manera crítica en las tres titulaciones.

A la luz de estos resultados se evidenció la necesidad de acciones de formación en los estudiantes de las titulaciones de Microbiología, Biología y Bioquímica; es por eso que, como segunda etapa, se desarrollaron encuentros cuyos objetivos y contenidos se basaron en las Normas de la ACRL para la Ciencia y la Tecnología.

En el encuentro 1 se explicó el concepto de información y su relación con el conocimiento; en qué consiste la sociedad de la información; la importancia de la alfabetización informacional; qué se entiende por competencias informacionales y cómo se determina la necesidad de información. Aquí, siguiendo a Porter,1 se sugirió a los estudiantes, mediante el Current Contents, generar una lista de temas de actualidad y consultar a los profesores para la valoración de estos. Además, se mostraron fuentes de información documentales, primarias y secundarias como, por ejemplo, las revistas Journal of Culture Collections, International Journal of Biological Sciences, y American Journal of Biochemistry and Biotechnology; se abordaron los tipos de catálogos de la biblioteca de la Facultad de Biología; se introdujeron las bases de datos Medline, Biotechnology and Biological Biological Abstracts; los portales en Internet: Microbeword y los buscadores por palabras claves, por categorías, específicos y metabuscadores.

En el encuentro 2 se trabajaron las estructuras "sintaxis y lógica de búsqueda" y "los diferentes operadores y las búsquedas avanzadas". Siguiendo a Porter,1 se les pidió a los estudiantes que prepararan y ejecutaran una estrategia de búsqueda, donde recuperaran un listado de 30 a 50 artículos de los últimos dos años y, a partir de Freeman,20 que leyeran los resúmenes de cinco artículos de los recuperados y determinaran si se adecuaban al tema de investigación.

En el encuentro 3 se sugirió cómo tomar apuntes y hacer esquemas de contenido. Se abordaron los elementos a tener en cuenta en la comunicación escrita. Aquí se argumentaron las cuestiones éticas y legales, el plagio, el copyright. Se explicó la utilización de las citas en el texto y las diferentes normas y estilos bibliográficos. Se trabajó el estilo Harvard por ser el indicado por los profesores para la revisión que debían entregar. Se introdujo el gestor bibliográfico EndNote. Se explicitaron algunas cuestiones de la comunicación oral.

Estos encuentros contaron con una herramienta de apoyo a la formación elaborada en Exe-Learning, la cual se estructuróen cuatro temas, a partir de las Normas de la ACRL para la Ciencia y la Tecnología.23

Dentro de la tercera etapa, los estudiantes expresaron que la experiencia desarrollada les aportó conocimientos, habilidades y actitudes en cuanto a la conexión, interacción y uso de la información. Manifestaron la necesidad de formar en estos aspectos, desde los primeros años y en todos los años de la carrera, como asignatura electiva u optativa, o dentro de otras asignaturas. Explicitaron satisfacción y gratitud fundamentadas en la utilidad, el valor y la novedad de los contenidos recibidos y la manera de impartirlos.






DISCUSIÓN

La evaluación diagnóstica realizada en las titulaciones de Microbiología, Biología y Bioquímica demuestra que los estudiantes no cuentan con las actitudes, conocimientos y habilidades relacionadas con la información.

Los estudiantes de las titulaciones de Microbiología, Biología y Bioquímica, presentan brechas coincidentes en el establecimiento de una estrategia de acción para obtener la información; la adquisición de la información necesaria de forma eficiente y eficaz; la evaluación de la información y sus fuentes; la comprensión de los problemas y cuestiones económicas, legales y sociales referente el uso de la información.

Para mejorar las debilidades detectadas, se desarrollaron encuentros formativos dentro de una asignatura del plan de estudios. La experiencia dentro de la práctica laboral se hizo posible porque existieron núcleos de profesores muy colaboradores y el Vicedecanato docente se sintió comprometido con el tema; sin embargo, la no existencia de una política universitaria en relación con la alfabetización informacional y la falta de infraestructura tecnológica influyen negativamente en la gestión de estas competencias.

Los encuentros desarrollados demostraron los beneficios de la formación de competencias informacionales dentro del plan de estudios; permitieron fundamentar que la integración es una vía de oferta formativa viable y sirvieron de base a la propuesta de inserción con vistas a ubicar curricularmente el desarrollo de las competencias informacionales en el pregrado. De ahí que se propuso a la Facultad, para el curso 2011-2012, un conjunto de asignaturas electivas y optativas en las titulaciones de Microbiología, Biología y Bioquímica, a partir de que, como señala Porter "(…) una intervención, por sí sola, no va a producir graduados competentes…; igualmente importante es el desarrollo continuo y progresivo de estas habilidades a través del currículo".22

Si se toman en cuenta las categorías según el grado de incorporación de la alfabetización informacional propuestas por Uribe-Tirado,28 se puede plantear que la Facultad de Biología se inicia en el trabajo con las competencias informacionales, y en camino de convertirse en una facultad comprometida con ellas.


REFERENCIAS BIBLIOGRÁFICAS

1. Porter JR. Information Literacy in Biology Education: An Example from an Advanced Cell Biology Course. Cell Biology Education. 2005;4:335-43.

2. Gómez JA, Pasadas C. La alfabetización informacional en bibliotecas públicas. Situación actual y propuestas para una agenda de desarrollo. Information Research [Internet]. 2007 [citado 13 mayo 2008];12(3). Disponible en: http://informationr.net/ir/

3. Pinto M, Sales D, Martínez-Osorio P. Biblioteca universitaria, CRAI y alfabetización informacional. Gijón: Trea; 2008.

4. Buschman J. Information Literacy, `New' Literacies, and Literacy. The Library Quarterly. 2009;79(1):95-118.

5. Timmers C, Glas CAW. Developing scales for information-seeking behaviour. J Docum. 2010;66(1):46-69.

6. Uribe-Tirado A. La formación en competencias informáticas e informacionales en la Universidad de Antioquia. Un trabajo desde tres frentes en busca del multialfabetismo. Seminario "Lecciones aprendidas en programas de alfabetización informacional en Iberoamérica". Congreso INFO; 2012 Abril 16-20; La Habana, Cuba.

7. Tovoté C. Alfabetización informativa y las bibliotecas en Escandinavia y en el mundo. Encuentro Internacional sobre Desarrollo de Habilidades Informativas [Internet]. 2006 [citado 13 marzo 2008]. Disponible en: http://www.uacj.mx/dhi/DHI.html

8. Dotan G, Aharony N. Information literacy roles of library media specialists in high schools: Israeli perspectives. Journal of information literacy [Internet]. 2008 [citado 27 abril 2009];2(1). Disponible en: http://jil.lboro.ac.uk/ojs/index.php/JIL/

9. Martin J, Birks J, Hunt F. Designing for Users: Online Information Literacy in the Middle East. Libraries and the Academy. 2010;10(1):57-73.

10. SAILS. Information and Training Session. ALA Annual Conference [Internet]. 2007 [citado 25 diciembre 2008]. Disponible en: https://www.projectsails.org/pubs/2007ALAannual/2007.ALA.Annual_presentation.pdf

11. University of Guelph. Results of the Standardized Assessment of Information [Internet]. 2008 [citado 15 agosto 2010]. Disponible en: http://www.lib.uoguelph.ca/services/information_literacy_&_instruction/information_literacytesting/components/documents /SAILS_UG_results_2008.pdf

12. University of Jackson. Results of the Standardized Assessment of Information [Internet]. 2007 [citado 15 agosto 2010]. Disponible en: http://www.jsums.edu/jsuoaa/assessment/web2010_2/resources/docs/institutionwidestudentassessments/SAILS%202007.pdf

13. University of Weber. Results of the Standardized Assessment of Information [Internet]. 2003 [citado 15 agosto 2010]. Disponible en: http://faculty.weber.edu/chansen/SAILS/SAILSweber.pdf

14. Bowden TS, Dibenedetto A. Information literacy in a biology laboratory session: an example of librarian-faculty collaboration. Research Strategies. 2001;18:14-39.

15. Vickery S, Cooper H. Confidence or Competente? auditing information literacy skills of biology undergraduate students [Internet]. 2002 [citado 11 marzo 2002]. Disponible en: http://citeseerx.ist.psu.edu/viewdoc/download?doi=10.1.1.125

16. Brown C, Krumholz LR. Integrating information literacy into the science curriculum. Coll Res Libr. 2002;63:111-23.

17. Ferguson J, Neely TJ, Sullivan KA. Baseline Information Literacy Assessment of Biology Students. Reference and User Services Quarterly; 2006;46(2):61-71.

18. Goebel NE, Neff PJ. Information literacy at Augustana. Communications in Information Literacy [Internet]. 2007 [citado: 3 junio 2008];1(1). Disponible en: http://www.comminfolit.org/index.php/cil/article/view/Spring2007AR1/30

19. Smith A. Information Literacy: A Collaborative Endeavour. CTE: Teaching and Learning News [Internet]. 2009 [citado: 30 enero 2010];18(4). Disponible en: http://www.cte.umd.edu

20. Freeman E, Lynd-Balta E. Developing Information Literacy Skills Early in an Undergraduate Curriculum. College Teaching. 2010;58(3):109-15.

21. Pinto M. An Approach to the Internal Facet of Information Literacy Using the IL-HUMASS Survey. J Acad Librar. 2011;37(2):145-54.

22. Porter JA, Wolbach KC, Purzycki CB, Bowman LA, Agbada E, Mostrom AM. Integration of Information and Scientific Literacy: Promoting Literacy in Undergraduates. CBELife Scien Educ. 2010;9:536-42.

23. ACRL Information Literacy Standards for Science and Engineering/Technology. The ALA/ACRL/STS Task Force on Information Literacy for Science and Technology [Internet]. 2006 [citado 10 junio 2007]. Disponible en: http://www.ala.org/ala/acrl/acrlstandards /infolitscitech.htm\

24. Wright BD, Stone MH. Diseño de mejores pruebas. México: s.n.; 1998.

25. Hernández-Sampieri R, Fernández C, Baptista P. Metodología de la Investigación. México: Mc Graw Hill; 2000.

26. Abad FJ, Garrido J, Olea J, Ponsoda V. Introducción a la psicometría. Teoría Clásica de los Test y Teoría de la Respuesta al Item. Madrid: Universidad Autónoma de Madrid; 2006.

27. CIBER. Information behavior of the researcher of the future: A CIBER briefing paper [Internet]. 2008 [citado 14 marzo 2009]. Disponible en: http://www.bl.uk/news/pdf/googlegen.pdf

28. Uribe-Tirado A. La alfabetización informacional en la uni­versidad: descripción y categorización según los niveles de integración de ALFIN: caso Universidad de Antioquia. Rev Interam Bibliot. 2010;33(1):31-83.





Recibido: 4 de enero de 2013.
Aprobado: 28 de febrero de 2013.



Dra. C. Marlery Sánchez Díaz. Centro Nacional de Biopreparados (BioCen). La Habana, Cuba. Correo electrónico: infctf@biocen.cu