ARTÍCULO


Científicos cubanos de la biomedicina más productivos en el período 1996-2011 según Medline


Cuban most productive biomedicine scientists in Medline in the period 1996-2011

 

MSc. Kiria Hernández-Ferreras, Lic. Lissette Cárdenas-de-Baños, Ing. Jorge Fundora-Mirabal, Dr. Alberto Juan Dorta-Contreras

Facultad de Ciencias Médicas "Dr. Miguel Enríquez". Universidad de Ciencias Médicas de La Habana. La Habana, Cuba.

 


RESUMEN

Cuba es un país caracterizado por poseer un gran número de investigadores y profesores, pero no por la cantidad de artículos científicos que publica. El objetivo de este trabajo es caracterizar la producción científica de las ciencias médicas cubanas a partir de la obra de sus autores más productivos y evaluar su experiencia como autor. Se utiliza el asistente de búsqueda GoPubMed y, a partir de la palabra Cuba, se toman los 20 autores cubanos más productivos a los que se les caracteriza su productividad en las bases PubMed y Scopus, además de su índice H. Paralelamente se realiza una encuesta a cada autor por correo electrónico. Entre las variables recogidas más importantes están el tiempo transcurrido desde la graduación hasta la salida del primer artículo, idiomas que prefiere publicar y conocimientos y uso adecuado de herramientas bibliométricas de estos autores. Hay una correspondencia entre el total de los trabajos referidos por cada autor y el total de trabajos recuperados por Scopus. Las correlaciones estadísticamente significativas fueron el número de años transcurridos desde la graduación hasta la fecha de publicación del primer artículo con el total de trabajos referidos por el autor y el total de trabajos recuperados en la base Scopus. Existe correlación significativa entre PubMed y GoPubMed; sin embargo, no resulta significativa entre PubMed y Scopus. A mayor número de trabajos recuperados por Scopus hay un incremento en el número de citas reflejadas en esta base. Los autores más productivos no aprovechan las posibilidades que brinda el conocimiento de los que lo citan y el índice H para trazar estrategias para su desarrollo científico; prefieren escribir en idioma inglés y no tienen uniformidad en la forma en que firman sus trabajos.

Palabras clave: Productividad, Cuba, Ciencias Médicas, Índice H, GoPubMed, Scopus, PubMed, citaciones.


ABSTRACT

Cuba is a country with a large number of researchers and academics but without great quantity of published papers.

The aim of this paper is to characterize the scientific production in the Cuban medical sciences throughout the most productive authors and to evaluate their experience in this topic. GoPubMed data base was employed using Cuba as filter Word. The productivity of the twenty most productive Cuban authors in PubMed, GoPubMed and Scopus databases was determined including H index. A questionnaire was sent to each author by email. Among the most important collected variables are the time between their graduation and the appearance of their first paper, favourite publishing language, and knowledges and use of bibiiometric tools. There is a relationship between the total paper published by the author and the number of paper recovered by Scopus. A statistically significant correlation was produced between PubMed and GoPubMed but Scopus. More quantity of recovered papers from Scopus database produced more citations in such database. The most productive authors do not take advantage on the knowledge that the citation offers to make scientific developmental strategies. They prefer to publish in English language and they don't have a unique way to sign their papers.

Key words: productivity, Cuba, Medical Sciences, H index, GoPubMed, Scopus, PubMed, citations.


 

INTRODUCCIÓN

Las investigaciones científicas cierran su ciclo con la publicación de los resultados. Este hecho bien conocido, y a veces poco practicado, determina la calidad de las salidas e impactos de estos resultados.1,2

Cuba, a pesar de la alta tasa de profesionales dedicados a la investigación científica, ocupa el décimo lugar en producción científica en el ranking iberoamericano de universidades SIR (Scimago iberoamerican Ranking) 2012.3-5 A esta disparidad aportan todos los sectores, entre ellos el de las ciencias médicas.

Como antecedentes al trabajo que nos ocupa, existen muchos trabajos que se encargan de establecer, como parte de los estudios bibliométricos, listados ordenados de instituciones y personas de acuerdo con su productividad. Ejemplos de esto han sido los trabajos relacionados con los neurocientíficos cubanos más productivos,6 los 50 artículos cubanos sobre ciencias biomédicas más citados en el Web of Sciences7 y el ranking de las instituciones a partir del empleo del índice H sucesivo,8 y más recientemente los artículos referidos sobre los trabajos cubanos con mayor número de citaciones en la primera década del presente siglo.9,10

Se justifica entonces identificar los autores más productivos porque, además, se pudiera conocer su experiencia acumulada y luego la forma en que han podido colocarse en esa posición. Esta experiencia puede servir de orientación y estímulo a otros que no han alcanzado estos lugares y reproducir resultados exitosos. Para descubrir las posibles influencias y relaciones que han determinado el éxito de estos autores se necesita un estudio métrico estadístico.

Los objetivos de este trabajo son identificar los autores más productivos en la biomedicina de acuerdo con PubMed, determinar la experiencia de esos autores en algunos aspectos relacionados con el tema de la publicación y el análisis métrico para entonces establecer las correlaciones correspondientes y evaluar las posibles dependencias.

Los beneficios que pretende este trabajo es que su lectura pueda ser de utilidad y motivación al lector para que sus futuras publicaciones se realicen con mayor calidad.


MÉTODOS

Para conocer los nombres de los 20 autores cubanos más productivos en las ciencias biomédicas se utilizó el asistente para la búsqueda GoPubMed11 que trabaja sobre la base de datos PubMed, asociada a Medline.

Medline es una base de datos producida por la US National Library of Medicine (NLM) que contiene referencias bibliográficas y resúmenes de más de 4 000 revistas biomédicas publicadas en Estados Unidos y en otros 70 países. Abarca las áreas de medicina, enfermería, odontología y medicina veterinaria. Esta última, a través de PubMed, es de acceso gratuito y la más consultada en el mundo en los temas referidos a las ciencias biomédicas.12

Se trabajó con GoPubMed porque facilita información adicional muy necesaria en los estudios bibliométricos y es utilizada ampliamente en el mundo. GoPubMed, como un asistente para la búsqueda, ofrece además estadísticas bibliográficas e información métrica, identificación de los autores, países más productivos, ciudades de procedencia de los autores de los artículos, mapas geográficos con la localización de las ciudades donde se reportan los artículos, así como el ritmo de publicaciones por año con su peso específico y mapas de relación entre autores en el contexto de la búsqueda realizada.

Se realizó la búsqueda en GoPubMed a partir del vocablo CUBA y a continuación se buscó el apartado "Top author" y se obtuvo el listado de los autores cubanos más productivos con el número de publicaciones que avalan este ranking. Utilizar como estrategia de búsqueda este vocablo CUBA es la forma adecuada por la configuración de los campos de país y ciudad que tiene este asistente que no permite que se confunda con materia u objeto de estudio.

Una vez con el listado se identificó el centro de trabajo de estos autores y se verificó su actividad laboral actual. Se procedió entonces en una segunda etapa a lograr que estos autores respondieran una encuesta de preguntas fáciles enviada por correo electrónico (anexo 1) que permitiera evaluar algunas claves del proceso de redacción en estos autores, comprobar si poseían conocimientos básicos de la cienciometría y si los utilizaban para mejorar la visibilidad de su producción, así como identificar las preferencias de publicación entre otros elementos.

Las variables que se deseaba obtener se convirtieron en preguntas de la encuesta. También se tomaron en cuenta los datos de cada autor a partir de las bases Medline y las citaciones e índice H que se obtuvieron de la base de datos Scopus, que es la que permite obtener estos resultados de los autores ya previamente identificados por PubMed. Estas variables son las siguientes: un primer grupo donde primaba información cuantitativa como: número de años dedicados a la investigación; número de años transcurridos desde la graduación hasta la fecha de publicación del primer artículo; total de trabajos referidos por el autor y los recuperados en PubMed, GoPubMed y Scopus; el total de citas que han recibido los trabajos de estos autores de acuerdo con Scopus, y el índice H13 que se reporta para cada autor en Scopus.14

Un segundo grupo de variables cualitativas utilizadas fueron las respuestas dadas por los autores sobre el idioma en que preferían publicar, los conocimientos de los autores acerca de su pertenencia a ese listado y al lugar que ocupaban en este, sus conocimientos acerca del índice H y si utilizaban estos conocimientos para conocer quiénes citaban sus artículos y el uso que le daban a esta última información. De igual manera se quiso conocer si ellos referían una forma específica de firmar sus trabajos, así como las vías utilizadas para aprender el oficio de publicar.

A cada variable cuantitativa se le aplicó la prueba de Kolmogorov Smirnov para evaluar si estas seguían una distribución normal, y prueba de correlación para conocer relaciones entre variables hipotéticamente dependientes. Además se hicieron pruebas de Chi cuadrado para evaluar homogeneidad y prueba de comparación de medias.

Las variables cualitativas sirvieron para agrupar a los entrevistados de acuerdo con sus opiniones vertidas en la encuesta, con el fin de evaluar si estas influyeron en los resultados cuantitativos obtenidos en cuanto a su producción científica para apreciar dependencia a partir de las frecuencias en las respuestas por el test de chi cuadrado. Todas estas pruebas se contrastaron con un nivel de significación de 0,05. Se utilizó para esto el procesador MedCalc versión 6.0.



RESULTADOS

Todas las variables estudiadas siguieron una distribución normal de acuerdo con el test de Kolmogorov-Smirnov. En la tabla 1 se muestra la relación de los autores cubanos más productivos de acuerdo con la base de datos PubMed obtenidos a partir del asistente de búsqueda GoPubMed y el número de trabajos de cada uno de estos autores que aparecen en PubMed, GoPubMed y Scopus, así como el número de citaciones totales en esta última base de datos con el consiguiente índice H.

El número de trabajos referidos por cada autor, como es de suponer, es mayor que el que se reporta en cada una de las distintas bases de datos por separado. Esto siempre ocurre porque los autores toman en cuenta la cifra real de publicaciones, incluyendo los artículos publicados en revistas no indexadas en ninguna base de datos y otros tipos de publicaciones, como pueden ser las patentes y los informes técnicos.

En la tabla 2 se muestran las correlaciones entre la experiencia dada en el número de años vinculados a las investigaciones y la productividad y visibilidad de estas. La correlación es una prueba estadística que indica si una variable aumenta o disminuye en relación con otra. Se midió el tiempo desde la fecha de graduación del autor y el momento en que publica su primer artículo. Esta variable fue de interés porque podría significar el tiempo de inercia hasta tanto el autor haya aprendido a publicar. Otra variable que se midió fue el total de trabajos del autor dado por su propio record o por lo que se recupera por Scopus. Ambas variables se correlacionaron negativamente. Esto significa que en la medida en que el autor aprendió a publicar más rápido, o sea, en el menor tiempo, influyó en un mayor número de publicaciones que este ha alcanzado.

Cada base de datos admite un número determinado de revistas. Se conoce que la base de datos que aparece en el Web of Sciences perteneciente a la firma Thomson-Reuters es la más exclusiva y elitista y admite menos revistas que PubMed, y que la base Scopus es la que admite el mayor número de revistas e incluye las revistas del Web of Sciences y de PubMed. En la tabla 3 se aprecia que existe una correlación significativa entre los trabajos de los autores que aparecen en PubMed y GoPubMed, precisamente porque una se deriva de la otra. Sin embargo, esta correlación no fue significativa entre PubMed y Scopus para nuestra muestra.

A medida que aumenta la visibilidad de la revista porque está en una buena base de datos, hay más oportunidad de que un trabajo sea citado. Por eso en la tabla 4 a mayor número de trabajos recuperados en Scopus hay un incremento en el número de citas. En la figura 1 se muestra la recta de regresión de la productividad de cada autor contra el total de citas en la base de datos Scopus.

En la encuesta que se les realizó a estos investigadores destacados, quisimos recoger algunas de las experiencias que poseían y relacionarlas con los resultados obtenidos. Por eso hay una combinación de variables cualitativas que hemos relacionado con variables cuantitativas que se muestran a continuación.

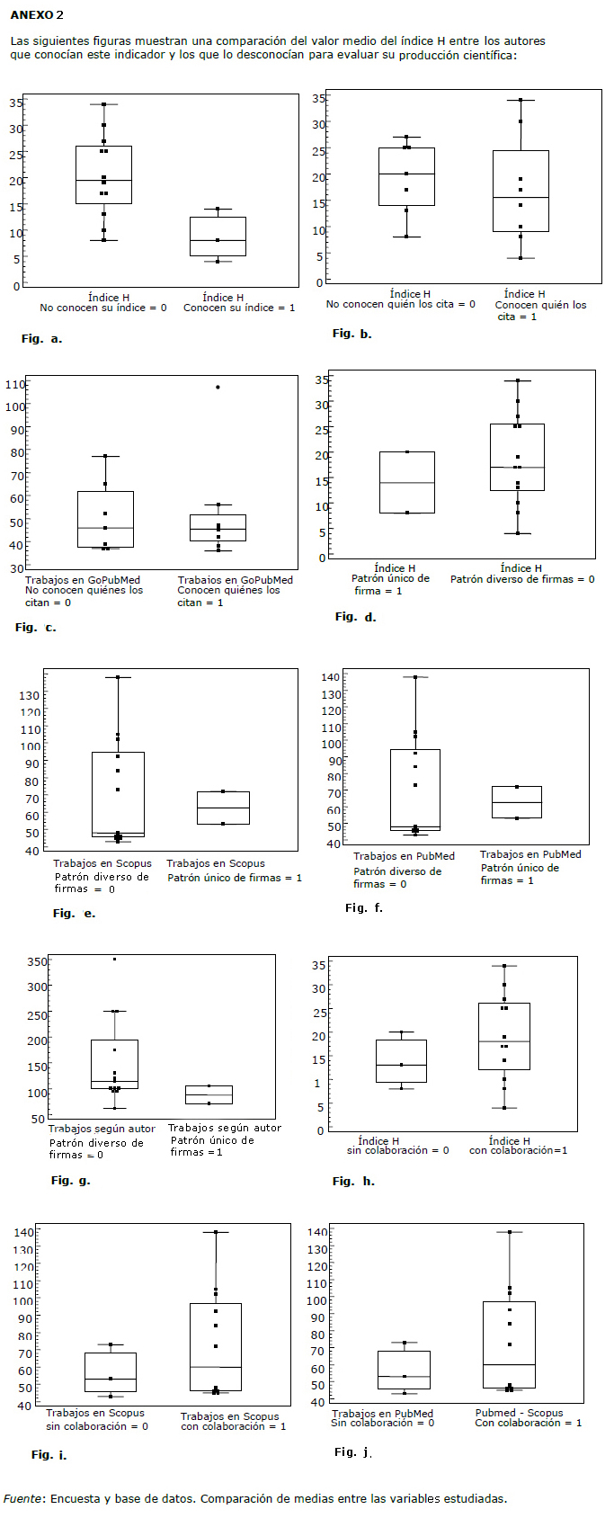
Resultaba interesante conocer si los autores conocían el índice H por el cual se pueden ordenar los investigadores de acuerdo con su producción y visibilidad. Este conocimiento no influyó en el lugar que ocupaban (X2=0,192; gl=1; p=0,6615). Esto es una deficiencia, ya que si el autor conoce su índice H y la forma que tiene para aumentarlo hará su trabajo más eficiente.

Cuando comparamos el índice H promedio de los que conocían este valor ordinal y los que no lo conocían a través de una comparación de medias, la diferencia fue significativa (t=2,338; gl=13; p=0,0328). En la figura 2 aparece un gráfico del tipo "box and whisker plot". En los extremos de la cota aparecen los valores mayores y menores. La caja la conforman los valores del 25 y el 75 percentil y el valor de la mediana aparece como valor medio de la caja de visualización rápida.

Conocer quién o quiénes citan los trabajos puede convertirse en una herramienta útil para la gestión del conocimiento porque permite identificar instituciones e investigadores que trabajan en el mismo campo, lo cual favorecería la colaboración si se utiliza creativamente (anexo 2). Esto parece que no influye de manera significativa porque no existió dependencia entre el conocimiento de quiénes citaban sus trabajos y la posición que ocupa el autor dentro del ranking (X2=0,184; gl=1; p=0,66).

Otro de los elementos que se exploraron fue la uniformidad en la forma que firman sus trabajos. Esta diversidad no estuvo al parecer influenciada por la forma en que firman los coautores extranjeros (X2=0,036; gl=1; p=0,84).

Cuando se comparó el valor medio del índice H de los que conocen este propio indicador con los que no conocían de la existencia de esta forma de evaluar su producción científica, se encontró que la diferencia era significativa. Llama la atención que los autores con mayor índice H eran los que desconocían este indicador.

Resultó de gran interés conocer cómo estos autores aprendieron el oficio de publicar. Cada autor pudo responder más de una opción. Resulta evidente que ninguno de ellos lo aprendió durante sus estudios universitarios y la mayor parte de estos (93 %) lo hicieron leyendo artículos científicos. El 80 % aprendió con la ayuda de asesores, con otros investigadores el 73 %, y el 26 % también consultó libros especializados sobre el tema en cuestión. El 13 % confesó que aprendieron solos.




DISCUSIÓN

Este país, sin lugar a dudas, mejorará sus indicadores de productividad y visibilidad en la medida en que todos seamos capaces de interiorizar la importancia que reviste la publicación de artículos científicos con los resultados obtenidos. Es la única manera en que se puede salvar esta incongruencia entre la masa de investigadores y profesores que realizan investigaciones, incluso avalada por proyectos, y que luego no se revierten en su publicación.15,16

Los resultados obtenidos indican que a mayor experiencia acumulada aumenta no solamente la productividad de la ciencia que se realiza, sino que se logra que esta se haga más visible. En la medida en que un profesional aprenda a publicar en el menor tiempo posible logrará en un menor plazo que aumente su producción científica, como lo comprobamos en este trabajo. La experiencia de las neurociencias cubanas sería un buen ejemplo a imitar.6

Una experiencia positiva sería tratar de crear binomios autorales producto del trabajo en equipo, esencial en la ciencia actual, para combinar la experiencia acumulada de los autores con los jóvenes que se aproximan a estas esferas de la investigación en ciencias médicas. Existen experiencias internacionales con buenos resultados con el uso de este método.17

Otra es tratar que estos autores realicen talleres de publicaciones con los jóvenes y no tan jóvenes que no tienen, por diversos motivos, las herramientas necesarias para culminar el ciclo de la investigación con publicaciones.

Que un artículo pueda estar en una base de datos de excelencia depende del lugar donde se publique, o sea, del impacto que posee la revista. Cuba, desde 2008, tiene 18 revistas cubanas en Scopus.18 Esta es una fortaleza que podemos explotar, pero a la vez se convierte en una amenaza porque la aparición en Scopus hace que estas revistas sean evaluadas en cuanto a calidad científica promedio o impacto normalizado, que es una variable que se usa en el ranking iberoamericano de universidades, por lo que urge aumentar la calidad de los trabajos que allí aparecen.19

Si los trabajos de autores cubanos que aparecen en las revistas cubanas que están en Scopus son poco citados, no podemos achacarlo a la falta de visibilidad. Otras investigaciones serán necesarias para conocer las posibles causas. También urge que las revistas cubanas establezcan sus propias estrategias para lograr el aumento de las citaciones, como podría ser la aceptación de la crítica como modalidad dentro de estas revistas.

La base de datos Scopus es una de las más democráticas por la diversidad de revistas, idiomas y países que integran la nómina de su colección, y por eso no tiene una correlación significativa con PubMed por ser esta última más selectiva y con mayor sesgo, entre ellos el del idioma.

Pudiera suceder que existan autores cubanos con un número mayor de publicaciones que las que han permitido que estos autores estén listados como los más productivos. Este listado se ha obtenido de PubMed, por lo que autores que publican en revistas que no reconoce esta base de datos no aparecen en este.

Resulta evidente que en la medida en que una revista aparezca en un mayor número de bases de datos internacionales, los trabajos que publica son más fácilmente accesibles y, por tanto, con mayor oportunidad de ser leídos por un alto número de especialistas y las posibilidades de que sean citados aumenta.

La cultura que se adquiere a partir del conocimiento de los procesos de la comunicación científica debe ser conocida y utilizada de forma creativa. Todo investigador debe aumentar el conocimiento de estas herramientas porque su uso es un recurso que puede traducirse en financiamiento, prestigio, acceso a posibilidades de premios, entre otras.

El índice H creado en el 2005 por Hirsch13 se ha convertido en un indicador clave, como puede ser para un ajedrecista conocer su ELO y a partir de esto elaborar una estrategia para su incremento constante. Los resultados de este trabajo evidencian que debe ser más conocido, comprendido y utilizado creativamente que como lo ha sido hasta el momento.

El conocimiento o no del índice H no pareció afectar el propio indicador, aunque tal vez su conocimiento y uso inteligente hubiera permitido un mejor manejo por parte del autor de este indicador.

Conocer el índice H significa no solamente conocer el lugar que se ocupa en un ranking, sino que puede convertirse en un elemento que impulse nuestra superación ya que, conociendo sus bases, podemos manejar su incremento así como establecer comparaciones válidas libres de subjetivismo entre profesionales de una misma ciencia en particular.20,21

En su gran mayoría los autores no conocían o no hacían uso de las citas que recibían sus trabajos, por lo cual no han hecho una lectura crítica de esta herramienta. Esto pareció no afectar su índice H en los resultados obtenidos. Paralelamente a la realización de este trabajo, los autores realizaron un encuentro personal con un grupo de estos científicos donde se les explicó cómo conocer quiénes citaban sus trabajos y el posible uso, por lo que podemos esperar en un futuro una lectura y manejo inteligente, tanto de las citas como del índice.

Si el investigador conoce a las personas e instituciones que citan sus trabajos, puede reconocer a sus posibles cooperadores y también a sus competidores. Identificar quiénes trabajan en su propio tema puede ser el inicio de una cooperación, de proyectos conjuntos, de intercambio de información y de conocimientos, experiencias comunes a compartir, y permite el avance de la ciencia en este contexto globalizado. Estas personas que citan a los autores cubanos podrán convertirse en estrechos colaboradores que les faciliten informaciones sobre eventos, financiamientos y otras oportunidades.

Otro de los elementos que afloraron en la encuesta fue la diversidad de formas que los autores utilizan para firmar sus trabajos. Lograr una homogeneidad en el patrón de su firma ayuda a recuperar el mayor número de trabajos en las bases de datos y que el autor no pierda las citaciones que de estos trabajos pudieran realizarse.22

Muchos autores cubanos desconocen que esto puede afectar su productividad y visibilidad. En esta investigación se ha hecho un estudio acucioso para tratar de recuperar el mayor número de trabajos y sus citaciones, a pesar de los disímiles patrones de firmas utilizados por cada uno de los autores, por lo cual aparentemente no se visualizan las diferencias que pudieran haber ocasionado.

Justificaciones para el uso de más de una forma de patrón de firmas pudieran existir muchas, pero nada hace más daño que lo que este hábito ocasiona, independientemente de la revista o base de datos donde esta se ubique.

Resulta una ventaja inobjetable publicar en idioma inglés,23 por lo que los autores más productivos lo prefieren, independientemente de la base de datos en que se encuentre el artículo. Otra de las máximas de la cienciometría indica que la visibilidad de un artículo aumenta cuando se publica con otros autores que proceden de otros países y/o instituciones. Los autores cubanos no han sabido aprovechar la colaboración internacional que presta Cuba para potenciar la producción científica con estos otros países.

La responsabilidad de salvar la brecha existente entre la productividad y visibilidad del trabajo científico en las ciencias biomédicas cubanas y el prestigio internacional dado por el número y calidad de sus investigadores es tarea de todos24 y debe ser asumida de forma éticamente apropiada.25

En este trabajo se identificaron los autores más productivos en la biomedicina de acuerdo con PubMed. La experiencia acumulada por estos autores, recogida en este artículo, podrá permitir a otros autores noveles aumentar su eficacia en la redacción de trabajos para su publicación y aprovechar mejor las herramientas métricas para su propio desarrollo.

Conocer y aplicar estrategias propias de cada autor para mejorar sus indicadores métricos es una tarea pendiente de los investigadores, incluidos los más productivos, no solo para su propio enriquecimiento científico, sino por su repercusión social para el país, y particularmente para las instituciones relacionadas con la biomedicina en la búsqueda de la excelencia.

Las ciencias médicas cubanas, orgullo de la nación, cuentan con trabajadores de la ciencia que harán posible la continuidad de esta labor con el compromiso moral de conocerse a la vanguardia de la investigación.



ANEXO 1


ENCUESTA

Estimado compañero (a):

Le rogamos conteste este cuestionario que le tomará unos diez minutos de su tiempo. Estamos haciendo una investigación sobre la producción científica médica cubana.

Las respuestas se utilizarán en la investigación de tal forma que no se identifiquen estas directamente con su nombre. Los que tengan acceso a ella no podrán conocer su opinión a menos que usted lo haga público a partir de su deseo expreso.



Datos generales

Nombre y apellidos_____________________________________
Edad ________ Sexo_____
Año en que se graduó___________ Carrera universitaria_____________
Categoría científica________________________________
Categoría docente____________________________________
Grado científico_____________________________________
Especialidad________________________________________
Cantidad de trabajos publicados__________________

1. ¿Conocía Ud. que es uno de los 20 cubanos que más han publicado en revistas registradas en la base de datos PubMed? SI_____ No______
2. Número de años en la investigación científica_____________
3. ¿En qué año publicó su primer artículo científico?___________
4. ¿Conoce usted su índice H? SI___ No____

En caso afirmativo lo conoció por:
Acceso a Scopus______ Acceso al Web of Sciences_____ Lo calculó a partir de la fórmula de Hirsch______
¿Cómo lo actualiza?
Por Scopus_____ Por Web of Sciences_____ Por otra vía______ ¿cuál?
5. ¿Conoce quiénes citan sus trabajos?____________________ En caso afirmativo ¿qué uso le da a esta información?_____________________________________
6. ¿Cómo aprendió a publicar sus resultados? MARQUE TODAS LAS QUE CONSIDERE.
Solo, sin ayuda de nadie___ Leyendo trabajos publicados___ Con asesoría____
Consultando libros sobre el tema_____ Le enseñaron en la carrera_____ Con otros investigadores con publicaciones anteriores _______ Otras formas, ¿cuáles?_______________________
7. ¿Ha publicado con autores de otros países? Sí____ No____ En caso afirmativo piense que ha resultado importante Sí___ No___ ¿Por qué?__________________
8. ¿Siempre firma sus trabajos con sus nombres completos y sus dos apellidos? Sí___ No___ ¿Por qué?________________
9. ¿Ha publicado en revistas cubanas? Sí____No_____ ¿Por qué?_____________
10. ¿En qué idioma prefiere publicar?_____________ ¿Por qué?______________

Gracias por su tiempo. Lo mantendremos informado de los resultados generales de esta investigación.

 

REFERENCIAS BIBLIOGRÁFICAS

1. Dorta-Contreras A. La publicación científica como medida de la ciencia. Rev Haban Cienc Méd. 2006;5(1) [citado: 20 de octubre de 2012]. Disponible en: http://www.ucmh.sld.cu/rhab/editorial_rev17.htm

2. Dorta-Contreras AJ. En defensa de nuestra producción científica. Acimed. 2006;14(3) [citado: 20 de octubre de 2012]. Disponible en: http://bvs.sld.cu/revistas/aci/vol14_3_06/aci15306.htm

3. De Moya F. Sistema de información regional para la generación de indicadores científicos: El Atlas de la Ciencia Iberoamericana. En: VI Congreso Internacional de Informática en Salud Informática 2007. La Habana: Ministerio de la Informática y las Comunicaciones; 2007.

4. Cañedo Andalia R, Dorta Contreras AJ. SCImago Journal & Country Rank, una plataforma para la evaluación del comportamiento de la ciencia según fuentes documentales y países. ACIMED. 2010;21(3) [citado: 20 de octubre de 2012]. Disponible en: http://www. Acimed.sld.cu/index.php/acimed/issue/view/3

5. SIR Ranking Iberoamericano 2012 [base de datos en Internet]. Madrid: Scimago: 2012 [citado: 12 de julio de 2012]. Disponible en: http://www.scimagoir.com/pdf/ranking_iberoamericano_2012.pdf

6. Dorta-Contreras AJ, Arencibia-Jorge R, Martí-Lahera Y, Araujo-Ruiz JA. Productividad y visibilidad de los neurocientíficos cubanos: estudio bibliométrico del período 2001-2005. Rev Neurol. 2008;47:355-60.

7. Araujo Ruiz JA, Arencibia Jorge R. Los 50 artículos cubanos sobre ciencias biomédicas más citados en el Web of Sciences en el período 1988-2003. ACIMED. 2005 [citado: 12 de julio de 2012]. Disponible en: http:// scielo.sld.cu/pdf/aci/v13n2/aci07_05.pdf

8. Arencibia Jorge R, Barrios Almaguer I, Fernández Hernández S, Carvajal Espino R. Applying successive H indices in the institutional evaluation: a case study. J Am Soc Inform Technol. 2008;59(1):155-7.

9. Arencibia Jorge R, Vega Almeida RL, Araujo Ruiz JA, Corera Álvarez E, de Moya Anegón F. Hitos de la ciencia cubana en el siglo XXI, una revisión a partir de los trabajos más citados en Scopus en el período 2001-2005. ACIMED. 2012;23(1):45-58.

10. Arencibia Jorge R, Vega Almeida RL, Araujo Ruiz JA, Corera Álvarez E, de Moya Anegón F. Hitos de la ciencia cubana en el siglo XXI, una revisión a partir de los trabajos más citados en Scopus en el período 2006-2010. ACIMED. 2012 [citado 19 Julio 2012];23(2):45-58. Disponible en: http://www.acimed.sld.cu/index.php/acimed/article/view/235

11. GoPubMed [base de datos en Internet]. Dresde: Transinsight. 2011 [citado: 15 Nov 2011]. Disponible en: http://www.gopubmed.org/

12. Medline [base de datos en Internet]. Atlanta: US National Library of Medicine [citado 15 Nov 2011]. Disponible en: http://www.nlm.nih.gov

13. Hirsch JE. An index to quantify an individual's scientific research output PNAS. 2005;102(46):1656972.

14. Jacsó P. The pros and cons of computing the h-index using Scopus. Online Information Review. 2008;32:52435.

15. Dorta-Contreras AJ, Álvarez Díaz L. Producción científica de Cuba: una perspectiva desde la obra de dos mujeres académicas. ACIMED. 2007;16(5) [citado 19 de Julio de 2012]. Disponible en: http://bvs.sld.cu/revistas/aci/vol16_5_07/aci071107.html

16. Dorta Contreras AJ. Evidenciar la ciencia cubana. ACIMED 2008;17(2): [citado 19 de Julio de 2012]; Disponible en: http://bvs.sld.cu/revistas/aci/vol17_2_08/aci01208.htm

17. Llano C. Análisis de la acción directiva. Ciudad de México: Limusa. 2007.

18. Moya Anegón F, Chinchilla Rodríguez Z, Vargas Quesada B, Corera Álvarez E, Muñoz Fernández FJ, González Molina A., et al. Coverage analysis of Scopus: A journal metric approach. Scientometrics. 2007;73:5378.

19. Dorta Contreras AJ, Hernández Ferreras K, Cárdenas de Baños L. Calidad de la ciencia producida en la Universidad de Ciencias Médicas de La Habana: un modelo y nuevos retos. Rev Haban Cienc Méd [serie en Internet] [citado 19 de Julio de 2012]; 2011;10(1):99-101. Disponible en: http://scielo.sld.cu/pdf/rhcm/v10n1/rhcm14111.pdf

20. Glanzel W. National characteristics in international scientific co-authorship. Scientometrics. 2001;51:69115.

21. Egghe L, Rao IKR. Study of different h-indices for groups of authors. Journal of the American Society for Information Science & Technology. 2008;59:127681.

22. Dorta Contreras AJ. Preservar nuestra identidad científica. Rev haban cienc méd Habana. 2008;7(2) [citado 19 de Julio de 2012]. Disponible en: http://www.ucmh.sld.cu/rhab/rhcm_vol_7num_2/rhcm01208.htm

23. Gimeno Menéndez F, Gimeno Menéndez MV. El desplazamiento lingüístico del español por el inglés. Madrid: Cátedra; 2003. ISBN: 84-376-2063-5.

24. Arencibia Jorge R, Moya-Anegón F. Challenges in the study of Cuban scientific output. Scientometrics. 2010;83:723-37.

25. Zitt M, Bassecoulard E. Challenges for scientometrics indicators: data demining, knowledge flow measurements and diversity issues. Ethics in Science and Environmental Politics. 2008;8:4960.



Recibido: 1ro. de marzo de 2012.
Aprobado: 23 de julio de 2012.



MSc. Kiria Hernández-Ferreras. Facultad de Ciencias Médicas "Dr. Miguel Enríquez". Universidad de Ciencias Médicas de La Habana. Calle "Ramón Pinto" No. 202, Luyanó, Municipio "10 de Octubre", La Habana, Cuba. Correo electrónico: kiria.hdez@infomed.sld.cu